搜索
技校概况
党建活动
校园动态
人才培养
校企环境
网上报名
校园文化
党建活动
党建动态 >
中央精神 >
党史 >
十九大专题 >
两会精神 >
正能量事迹 >
通知公告
你现在的位置:
首页
>
全部分类
>
校园动态
>
通知公告
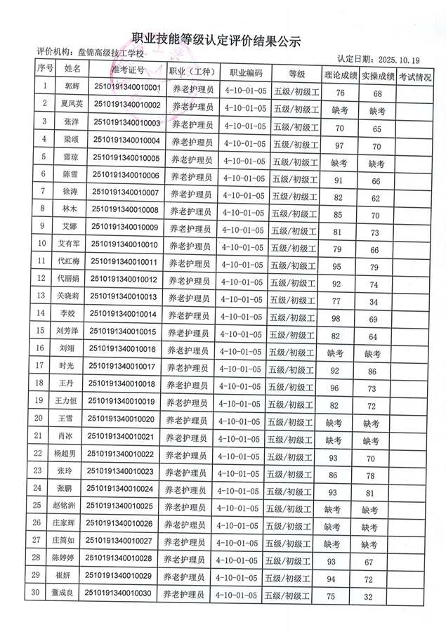
盘锦高级技工学校职业技能等级认定成绩公示(2025年第4批)
添加日期:2025年10月22日